| The ebook Elementary Calculus is based on material originally written by H.J. Keisler. For more information please read the copyright pages. |
|

Home Vectors Vector Derivatives Theorem 3: Rules for Vector Derivatives |
|
|
|
Theorem 3: Rules for Vector Derivatives
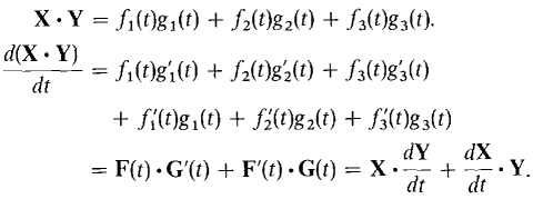
THEOREM 3 (Rules for Vector Derivatives) Let u = h(t) be a real function and let X = F(t), Y = G(t) be vector valued functions whose derivatives at t exist. (i) Constant Rules (ii) Sum Rule
(iii) Inner Product Rule PROOF We prove (iii).
|
|
Home Vectors Vector Derivatives Theorem 3: Rules for Vector Derivatives |
|