| Lectures on Physics has been derived from Benjamin Crowell's Light and Matter series of free introductory textbooks on physics. See the editorial for more information.... |
|

Home Newtonian Physics Newtons Laws in Three Dimensions Coordinates and Components |
|||||||||||||||||
|
|||||||||||||||||
|
Coordinates and Components
'Cause we're all
Bold as love,
Just ask the axis. How do we convert these ideas into mathematics? The figure below shows a good way of connecting the intuitive ideas to the numbers. In one dimension, we impose a number line with an x coordinate on a certain stretch of space. In two dimensions, we imagine a grid of squares which we label with x and y values, as shown in figure b.
But of course motion doesn't really occur in a series of discrete hops like in chess or checkers. Figure c/ shows a way of conceptualizing the smooth variation of the x and y coordinates. The ball's shadow on the wall moves along a line, and we describe its position with a single coordinate, y, its height above the floor. The wall shadow has a constant acceleration of -9.8 m/s2. A shadow on the floor, made by a second light source, also moves along a line, and we describe its motion with an x coordinate, measured from the wall.
The velocity of the floor shadow is referred to as the x component of the velocity, written vx. Similarly we can notate the acceleration of the floor shadow as ax. Since vx is constant, ax is zero. Similarly, the velocity of the wall shadow is called vy, its acceleration ay. This example has ay = -9.8 m/s2. Because the earth's gravitational force on the ball is acting along the y axis, we say that the force has a negative y component, Fy, but Fx = Fz = 0. The general idea is that we imagine two observers, each of whom perceives the entire universe as if it was flattened down to a single line. The y-observer, for instance, perceives y, vy, and ay, and will infer that there is a force, Fy, acting downward on the ball. That is, a y component means the aspect of a physical phenomenon, such as velocity, acceleration, or force, that is observable to someone who can only see motion along the y axis. All of this can easily be generalized to three dimensions. In the example above, there could be a z-observer who only sees motion toward or away from the back wall of the room.
Projectiles move along parabolas.
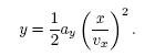
What type of mathematical curve does a projectile follow through space? To find out, we must relate x to y, eliminating t. The reasoning is very similar to that used in the example above. Arbitrarily choosing x = y = t = 0 to be at the top of the arc, we conveniently have x = Δx, y = Δy, and t = Δt, so
We solve the second equation for t = x/vx and eliminate t in the first equation:
Since everything in this equation is a constant except for x and y,
we conclude that y is proportional to the square of x. As you may
or may not recall from a math class, y → Solved problem: A cannon page 191, problem 5
Discussion Questions
|
|||||||||||||||||
Home Newtonian Physics Newtons Laws in Three Dimensions Coordinates and Components |
|||||||||||||||||