Lectures on Physics has been derived from Benjamin Crowell's Light and Matter series of free introductory textbooks on physics. See the editorial for more information....

Homework Problems

A dinosaur fossil is slowly moving down the slope of a glacier under the influence of wind, rain and gravity. At the same time, the glacier is moving relative to the continent underneath. The dashed lines represent the directions but not the magnitudes of the velocities. Pick a scale, and use graphical addition of vectors to find the magnitude and the direction of the fossil's velocity relative to the continent. You will need a ruler and protractor.


Is it possible for a helicopter to have an acceleration due east and a velocity due west? If so, what would be going on? If not, why not?
A bird is initially flying horizontally east at 21.1 m/s, but one second later it has changed direction so that it is flying horizontally and 7 ° north of east, at the same speed. What are the magnitude and direction of its acceleration vector during that one second time interval? (Assume its acceleration was roughly constant.)

A person of mass M stands in the middle of a tightrope, which is fixed at the ends to two buildings separated by a horizontal distance L. The rope sags in the middle, stretching and lengthening the rope slightly.

(a) If the tightrope walker wants the rope to sag vertically by no more than a height h, find the minimum tension, T, that the rope must be able to withstand without breaking, in terms of h, g, M, and L.

(b) Based on your equation, explain why it is not possible to get h = 0, and give a physical interpretation.


Your hand presses a block of mass m against a wall with a force FH acting at an angle θ. Find the minimum and maximum possible values of |FH| that can keep the block stationary, in terms of m, g, θ, and µs, the coefficient of static friction between the block and the wall.


√ *
A skier of mass m is coasting down a slope inclined at an angle θ compared to horizontal. Assume for simplicity that the treatment of kinetic friction given in chapter 5 is appropriate here, although a soft and wet surface actually behaves a little differently. The coefficient of kinetic friction acting between the skis and the snow is µk, and in addition the skier experiences an air friction force of magnitude bv2, where b is a constant.

(a) Find the maximum speed that the skier will attain, in terms of the variables m, g, θ, µk, and b.

(b) For angles below a certain minimum angle θmin, the equation gives a result that is not mathematically meaningful. Find an equation for θmin, and give a physical explanation of what is happening for θ < θmin.


A gun is aimed horizontally to the west, and fired at t = 0. The bullet's position vector as a function of time is

where b, c, and d are constants.

(a) What units would b, c, and d need to have for the equation to make sense?

(b) Find the bullet's velocity and acceleration as functions of time.

(c) Give physical interpretations of b, c, d, ´


Annie Oakley, riding north on horseback at 30 mi/hr, shoots her rifle, aiming horizontally and to the northeast. The muzzle speed of the rifle is 140 mi/hr. When the bullet hits a defenseless fuzzy animal, what is its speed of impact? Neglect air resistance, and ignore the vertical motion of the bullet.
Solution, p. 281

A cargo plane has taken off from a tiny airstrip in the Andes, and is climbing at constant speed, at an angle of θ=17 °with respect to horizontal. Its engines supply a thrust of Fthrust = 200 kN, and the lift from its wings is Flift = 654 kN. Assume that air resistance (drag) is negligible, so the only forces acting are thrust, lift, and weight. What is its mass, in kg?


Solution, p. 281
10 

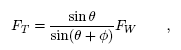
A wagon is being pulled at constant speed up a slope θ by a rope that makes an angle φ with the vertical.

(a) Assuming negligible friction, show that the tension in the rope is given by the equation

where FW is the weight force acting on the wagon.

(b) Interpret this equation in the special cases of φ = 0 and φ = 180 ° - θ.


Solution, p. 282
11 The angle of repose is the maximum slope on which an object will not slide. On airless, geologically inert bodies like the moon or an asteroid, the only thing that determines whether dust or rubble will stay on a slope is whether the slope is less steep than the angle of repose.

(a) Find an equation for the angle of repose, deciding for yourself what are the relevant variables.

(b) On an asteroid, where g can be thousands of times lower than on Earth, would rubble be able to lie at a steeper angle of repose?


Solution, p. 282
12 

The figure shows an experiment in which a cart is released from rest at A, and accelerates down the slope through a distance x until it passes through a sensor's light beam. The point of the experiment is to determine the cart's acceleration. At B, a cardboard vane mounted on the cart enters the light beam, blocking the light beam, and starts an electronic timer running. At C, the vane emerges from the beam, and the timer stops.

(a) Find the final velocity of the cart in terms of the width w of the vane and the time tb for which the sensor's light beam was blocked.

(b) Find the magnitude of the cart's acceleration in terms of the measurable quantities x, tb, and w.

(c) Analyze the forces in which the cart participates, using a table in the format introduced in section 5.3. Assume friction is negligible.

(d) Find a theoretical value for the acceleration of the cart, which could be compared with the experimentally observed value extracted in part b. Express the theoretical value in terms of the angle θ of the slope, and the strength g of the gravitational field.


13 

Problem 13 (Millikan and Gale, 1920).

The figure shows a boy hanging in three positions: (1) with his arms straight up, (2) with his arms at 45 degrees, and (3) with his arms at 60 degrees with respect to the vertical. Compare the tension in his arms in the three cases.




Last Update: 2010-11-11