| Lectures on Physics has been derived from Benjamin Crowell's Light and Matter series of free introductory textbooks on physics. See the editorial for more information.... |
|

Home Conservation Laws Conservation of Angular Momentum Proof of Keplers Elliptical Orbit Law |
|||||||||||
|
|||||||||||
|
Proof of Keplers Elliptical Orbit LawKepler determined purely empirically that the planets' orbits were ellipses, without understanding the underlying reason in terms of physical law. Newton's proof of this fact based on his laws of motion and law of gravity was considered his crowning achievement both by him and by his contemporaries, because it showed that the same physical laws could be used to analyze both the heavens and the earth. Newton's proof was very lengthy, but by applying the more recent concepts of conservation of energy and angular momentum we can carry out the proof quite simply and succinctly, and without calculus. The basic idea of the proof is that we want to describe the shape of the planet's orbit with an equation, and then show that this equation is exactly the one that represents an ellipse. Newton's original proof had to be very complicated because it was based directly on his laws of motion, which include time as a variable. To make any statement about the shape of the orbit, he had to eliminate time from his equations, leaving only space variables. But conservation laws tell us that certain things don't change over time, so they have already had time eliminated from them.
There are many ways of representing a curve by an equation, of which the most familiar is y = ax + b for a line in two dimensions. It would be perfectly possible to describe a planet's orbit using an x - y equation like this, but remember that we are applying conservation of angular momentum, and the space variables that occur in the equation for angular momentum are the distance from the axis, r, and the angle between the velocity vector and the r vector, which we will call Φ. The planet will have Φ=90 °when it is moving perpendicular to the r vector, i.e., at the moments when it is at its smallest or greatest distances from the sun. When Φ is less than 90 °the planet is approaching the sun, and when it is greater than 90 °it is receding from it. Describing a curve with an r-Φ equation is like telling a driver in a parking lot a certain rule for what direction to steer based on the distance from a certain streetlight in the middle of the lot. The proof is broken into the three parts for easier digestion. The first part is a simple and intuitively reasonable geometrical fact about ellipses, whose proof we relegate to the caption of figure ab; you will not be missing much if you merely absorb the result without reading the proof.
(1) If we use one of the two foci of an ellipse as an axis for defining the variables r and Φ, then the angle between the tangent line and the line drawn to the other focus is the same as Φ, i.e., the two angles labeled Φ in figure ab are in fact equal. The other two parts form the meat of our proof. We state the results first and then prove them. (2) A planet, moving under the influence of the sun's gravity with less then the energy required to escape, obeys an equation of the form
where p and q are constants that depend on the planet's energy and angular momentum and p is greater than zero. (3) A curve is an ellipse if and only if its r-Φ equation is of the form
where p and q are constants that depend on the size and shape of the ellipse and p is greater than zero.
Proof of part (2)
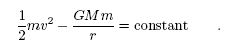
The component of the planet's velocity vector that is perpendicular
to the r vector is v rv sin Φ = constant . Conservation of energy gives
We solve the first equation for v and plug into the second equation to eliminate v. Straightforward algebra then leads to the equation claimed above, with the constant p being positive because of our assumption that the planet's energy is insufficient to escape from the sun, i.e., its total energy is negative.
Proof of part (3)
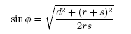
We define the quantities α, d, and s as shown in the figure. The law of cosines gives d2 = r2 + s2 - 2rs cos α . Using α = 180 °-2Φ and the trigonometric identities cos(180 °-x) = -cos x and cos 2x = 1 - 2 sin2 x, we can rewrite this as d2 = r2 + s2 + 2rs (1 - sin2 Φ) . Straightforward algebra transforms this into
Since r + s is constant, the top of the fraction is constant, and the denominator can be rewritten as 2rs = 2r(constant - r), which is equivalent to the desired form.
|
|||||||||||
Home Conservation Laws Conservation of Angular Momentum Proof of Keplers Elliptical Orbit Law |
|||||||||||