| Lectures on Physics has been derived from Benjamin Crowell's Light and Matter series of free introductory textbooks on physics. See the editorial for more information.... |
|

Home Newtonian Physics Vectors and Motion Examples A fire-extinguisher stunt |
||||||||
|
||||||||
|
A fire-extinguisher stunt on iceProf. Puerile smuggles a fire extinguisher into a skating rink. Climbing out onto the ice without any skates on, he sits down and pushes off from the wall with his feet, acquiring an initial velocity
At t=0, he then discharges the fire extinguisher at a 45-degree angle so that it applies a force to him that is backward and to the left, i.e., along the negative y axis and the positive x axis. The fire extinguisher's force is strong at first, but then dies down according to the equation |F| = b -ct, where b and c are constants. Find the professor's velocity as a function of time. . Measured counterclockwise from the x axis, the angle of the force vector becomes 315 °. Breaking the force down into x and y components, we have
In unit vector notation, this is
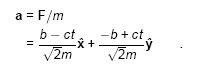
Newton's second law gives
To find the velocity vector as a function of time, we need to integrate the acceleration vector with respect to time,
A vector function can be integrated component by component, so this can be broken down into two integrals,
Here the physical significance of the two constants of integration is that they give the initial velocity. Constant #1 is therefore zero, and constant #2 must equal vo. The final result is
|
||||||||
Home Newtonian Physics Vectors and Motion Examples A fire-extinguisher stunt |
||||||||