| Lectures on Physics has been derived from Benjamin Crowell's Light and Matter series of free introductory textbooks on physics. See the editorial for more information.... |
|

Home Newtonian Physics Circular Motion Examples Acceleration related to radius and period of rotation |
|||
|
|||
|
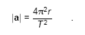
Acceleration related to radius and period of rotationHow can the equation for the acceleration in uniform circular motion be rewritten in terms of the radius of the circle and the period, T, of the motion, i.e., the time required to go around once? The period can be related to the speed as follows:
Substituting into the equation |a| = |v|2/r gives
|
|||
Home Newtonian Physics Circular Motion Examples Acceleration related to radius and period of rotation |
|||