| Lectures on Physics has been derived from Benjamin Crowell's Light and Matter series of free introductory textbooks on physics. See the editorial for more information.... |
|

Home Electricity Fields of Force Examples Voltage associated with a point charge |
|||||
|
|||||
|
Voltage associated with a point charge
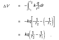
Question: What is the voltage associated with a point charge? Solution: As derived previously in a self-check, the field is
The difference in voltage between two points on the same radius line is
In the general discussion above, x was just a generic name for distance traveled along the line from one point to the other, so in this case x really means r.
The standard convention is to use r1=∞ as a reference point, so that the voltage is
The interpretation is that if you bring a positive test charge closer to a positive charge, its potential energy is increased; if it was released, it would spring away, releasing this as kinetic energy.
|
|||||
Home Electricity Fields of Force Examples Voltage associated with a point charge |
|||||