| Electrical Communication is a free textbook on the basics of communication technology. See the editorial for more information.... |
|

Home Electrical Fundamentals of Communication Maximum Power Transfer |
|||
|
|||
Maximum Power TransferA power system operates at constant voltage, but a communication circuit does not. The internal impedance of communication apparatus is often quite high, with the result that the output or terminal voltage varies greatly with the magnitude of the current taken by a connected load. The amount of electric signal power available from communication equipment (such as a telephone transmitter) is often very small, and maximum power transfer from one device or circuit to another, rather than efficiency of power transfer, is the criterion of good design. The principle of maximum power transfer can be illustrated by a simple example. Suppose that a battery of constant open-circuit voltage Eoc and internal resistance Ri is connected directly to a load resistor RL. It is desired to find the value of RL such that the maximum power is transferred from the battery to the load. The current flowing will be
and the power PL delivered to the load resistor RL will be
where PL will be in watts, when the other units are amperes, volts, and ohms. If equations 22 and 23 are examined, the power PL delivered to the load will be seen to approach zero if RL approaches either zero or infinity in value. There is, accordingly, some intermediate point where the power transferred is maximum. This can be found by differentiating equation 23 and equating to zero, or by plotting a curve of equation 23. By either method it is found that maximum power is transferred from the battery to the load when the load resistance equals the internal resistance of the battery.
The relations just discussed are plotted in Fig. 12. The maximum power that can be developed by the battery is that produced when it is short circuited. The per cent of this delivered to the load is plotted against the ratio of the load resistance RL to the battery internal resistance Ri, and maximum power transfer occurs when RL = Ri. The efficiency of power transfer is
and, when RL =Ri, the efficiency is 50 per cent; that is, half of the power generated is lost in the battery, and half is delivered to the load. In alternating-current circuits the power transferred from a generator of open-circuit voltage Eoc and internal impedance Zg to a load of impedance ZL will be P = I2RL, where
If the reactance XL of the load is equal in magnitude and opposite in sign to the internal reactance Xg of the generator, then the reactances cancel, and the relations previously considered apply; that is, maximum power transfer occurs when RL = Rg, and the efficiency is 50 percent. Impedances, which have equal resistance components and reactance components equal in magnitude but opposite in sign, are defined1 as conjugate impedances. For conjugate impedances the maximum power transferred becomes
If the generator internal impedance and the load impedance are not conjugates, the power transferred is P = I2RL, where I is as given by equation 25. Thus, the power transferred is
When Zg and ZL are equal both in magnitude and angle (that is, Rg = RL, and Xg = XL), then equation 27 may be written
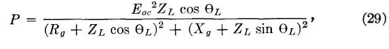
In communication circuits the following problem is often encountered: a load of impedance ZL is to be connected to a generator of internal impedance Zg. It is not possible to obtain a condition of conjugate impedances. Instead, the generator and load must be connected through a transformer that can be used to alter the magnitude only of the impedance. If the magnitude, but not the angle of an impedance can be altered, the relations for maximum power can be determined by rewriting equation 27 as follows
and by differentiating this expression and equating to zero.14 The solution shows that when the magnitude ZL but not the angle θL of a load impedance can be varied, maximum power will be transferred from a generator of internal impedance Zg when the magnitude of ZL equals the magnitude of Zg.
|
|||
Home Electrical Fundamentals of Communication Maximum Power Transfer |
|||