| Electrical Communication is a free textbook on the basics of communication technology. See the editorial for more information.... |
|

Home Electric Networks Filters Transmitted Band from Iterative Impedances |
|||
|
|||
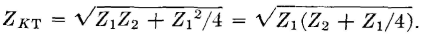
Transmitted Band from Iterative ImpedancesThe frequencies transmitted by a filter can be determined from the iterative impedances of the filter sections by the following method. Assume that a resistance load is connected to a source through a filter composed of inductors and capacitors having negligible losses. Then, the filter itself cannot absorb power. Now suppose that a frequency is chosen such that the iterative impedance of the filter is purely resistive. At this frequency, the source will send power to the filter, and, since the filter cannot absorb power, it must reach the load. Next assume that at a different frequency the iterative impedance of the filter is purely reactive. This prevents the source from sending any power into the connected circuit, and thus no power reaches the load at this frequency. From these facts it may be concluded that a filter will transmit without attenuation those frequencies for which the iterative impedance ZK is resistive (Fig. 25). The iterative impedance given by equation 45 is
For unattenuated transmission this must be a positive real number to be resistive. This equation consists of two parts: Xa = Z1 and Xb = (Z2+Z1/4). Thus, ZKT = sqrt(XaXb). Pure reactances only are being considered; and for ZKT to be positive, if Xa represents inductive reactance and is +jNa, then Xb must be capacitive reactance or -jXb, and vice versa, within the band of frequencies transmitted. For these relations ZKT = sqrt((+jXa)(-jXb)), and ZKT will be positive. To satisfy these conditions, Z2 must be, first, the opposite type of reactance to Z1, and second, greater in numerical value than Z1/4. Or, in other words, the ratio Z1/4Z2 from equation 45 must lie between 0 and -1 for the frequencies to be transmitted, as shown in Fig. 26.
|
|||
Home Electric Networks Filters Transmitted Band from Iterative Impedances |
|||