| The ebook Elementary Calculus is based on material originally written by H.J. Keisler. For more information please read the copyright pages. |
|

Home Trigonometric Functions Integrals of Powers of Trigonometric Functions Examples Example 9 |
|
|
|
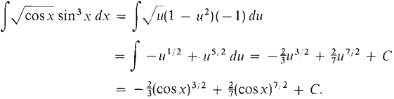
Example 9
EXAMPLE 9
|
|
Home Trigonometric Functions Integrals of Powers of Trigonometric Functions Examples Example 9 |
|