| Lectures on Physics has been derived from Benjamin Crowell's Light and Matter series of free introductory textbooks on physics. See the editorial for more information.... |
|

Home Electricity Circuits Parallel Resistances and the Junction Rule |
||||||||||||||||
|
||||||||||||||||
|
Parallel Resistances and the Junction Rule
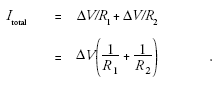
One of the simplest examples to analyze is the parallel resistance circuit, of which figure (e) was an example. In general we may have unequal R1 resistances R1 and R2, as in (f). Since there are only two constant-voltage areas in the circuit, (g), all three components have the same voltage difference across them. A battery normally succeeds in maintaining the voltage differences across itself for which it was designed, so the voltage drops ΔV and ΔV2 across the resistors must both equal the voltage of the battery: ΔV1= ΔV2= ΔVbattery. Each resistance thus feels the same voltage difference as if it was the only one in the circuit, and Ohm's law tells us that the amount of current flowing through each one is also the same as it would have been in a one-resistor circuit. This is why household electrical circuits are wired in parallel. We want every appliance to work the same, regardless of whether other appliances are plugged in or unplugged, turned on or switched off. (The electric company doesn't use batteries of course, but our analysis would be the same for any device that maintains a constant voltage.) Of course the electric company can tell when we turn on every light in R1 the house. How do they know? The answer is that we draw more current. Each resistance draws a certain amount of current, and the amount that has to be supplied is the sum of the two individual currents. The current is like a river that splits in half, (h), and then reunites. The total current is Itotal= I1+ I2 . This is an example of a general fact called the junction rule: the junction rule In any circuit that is not storing or releasing charge, conservation of charge implies that the total current flowing out of any junction must be the same as the total flowing in. Coming back to the analysis of our circuit, we apply Ohm's law to each resistance, resulting in
As far as the electric company is concerned, your whole house is just one resistor with some resistance R, called the equivalent resistance. They would write Ohm's law as
from which we can determine the equivalent resistance by comparison with the previous expression:
Two resistors in parallel, (i), are equivalent to a single resistor with a value given by the above equation.
The cutting in half of the resistance surprises many students, since we are "adding more resistance" to the circuit by putting in the second lamp. Why does the equivalent resistance come out to be less than the resistance of a single lamp? This is a case where purely verbal reasoning can be misleading. A resistive circuit element, such as the filament of a lightbulb, is neither a perfect insulator nor a perfect conductor. Instead of analyzing this type of circuit in terms of "resistors," i.e. partial insulators, we could have spoken of "conductors." This example would then seem reasonable, since we "added more conductance," but one would then have the incorrect expectation about the case of resistors in series, discussed in the following section. Perhaps a more productive way of thinking about it is to use mechanical intuition. By analogy, your nostrils resist the flow of air through them, but having two nostrils makes it twice as easy to breathe.
|
||||||||||||||||
Home Electricity Circuits Parallel Resistances and the Junction Rule |
||||||||||||||||