| Electrical Communication is a free textbook on the basics of communication technology. See the editorial for more information.... |
|

Home Transmission Lines Characteristic Impedance |
|
|
|
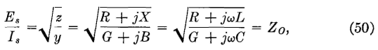
Characteristic ImpedanceIt was shown by equation 30 that for an infinite uniform line Is = Es/sqrt(z/y), where Is is the sending-end current, Es is the sending-end voltage, z is the linear series line impedance, and y is the linear parallel, or shunt, line admittance (page 198). From this relation,
where Z0 is the characteristic impedance, defined1 as "the ratio of an applied potential difference to the resultant current at the point where the potential difference is applied, when the line is of infinite length." The term characteristic impedance is applied correctly only to uniform lines with distributed constants (page 192). When an alternating voltage is applied to a uniform infinite line of length L∞, electromagnetic waves are propagated down the line toward infinity and no energy is reflected back to the sending end. The input impedance Zi measured (with an impedance bridge) on this line of length L∞, gives the characteristic impedance Z0. This value is the same for all identical lines. Suppose that some finite length, such as 200 miles, is removed from the infinite line L∞, and that the input impedance Zi' of the remainder of the line (L∞ - 200} is measured. This impedance Zi' must equal Zi because removing the 200 miles does not appreciably alter the infinite line. But the portion of the line (L∞ - 200) of impedance Zi' really acts as a termination or load to the 200-mile section. It terminates it without reflection, the wave entering it without encountering an impedance discontinuity. Since both the impedances Zi and Zi' equal the characteristic impedance Z0 as previously defined, it follows that, when a finite line is terminated with an impedance load equal to its characteristic impedance, then the electromagnetic wave received at the end of the finite line will enter the termination without reflection just as it entered the portion of the infinite line (L∞ - 200). Hence the characteristic impedance Z0 of a finite line is equal to the input impedance of the line when it is terminated in its characteristic impedance Z0. The characteristic impedance of a line is that value of impedance which will terminate a finite length of line so that no wave reflection will occur at the distant end. It should be noted from equation 50 that the characteristic impedance varies with frequency. If it is desired to know the characteristic impedance of a line (pages 221 and 222), this value either can be computed from equation 50 or can be measured. In order to measure the characteristic impedance of a line, the impedance Zoc is first measured with the distant end of the line open, and then Zsc is measured with the distant end short-circuited. Then, from equations 60 and 64, given on page 207, and the relation
If the resistance and shunt conductance are assumed negligible, the characteristic impedance given by equation 50 becomes
and is sometimes called the natural or surge impedance of the line.
|
|
Home Transmission Lines Characteristic Impedance |
|