The ebook Elementary Calculus is based on material originally written by H.J. Keisler. For more information please read the copyright pages.


Example 1

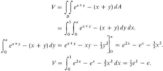
Find the volume of the solid

0 ≤ x ≤ 1, 0 ≤ y ≤ x, x + y ≤ z ≤ ex+y.

Step 1

D is the triangle shown in Figure 12.3.6.

Step 2

D is the region 0 ≤ x ≤ 1, 0 ≤ y ≤ x.

Step 3

12_multiple_integrals-167.gif

12_multiple_integrals-166.gif

Figure 12.3.6


Last Update: 2006-11-15